中国汽车工程师之家--聚集了汽车行业80%专业人士 

论坛口号:知无不言,言无不尽!QQ:542334618 

本站手机访问:直接在浏览器中输入本站域名即可 

  • 1598查看
  • 7回复

电动汽车的功率匹配

[复制链接]


该用户从未签到

发表于 18-5-2012 09:47:04 | 显示全部楼层 |阅读模式

汽车零部件采购、销售通信录       填写你的培训需求,我们帮你找      招募汽车专业培训老师


电动汽车的功率匹配公式?


该用户从未签到

发表于 4-8-2012 23:34:43 | 显示全部楼层
电动车的功率匹配和传统车发动机的匹配差不多,找《汽车理论》那本书看看
回复 支持 反对

使用道具 举报



该用户从未签到

发表于 4-8-2012 23:45:59 | 显示全部楼层
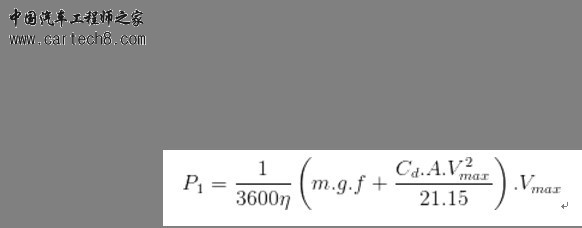
图片就是公式(偷一下懒,截了个屏)
公式.png
回复 支持 反对

使用道具 举报



该用户从未签到

发表于 4-8-2012 23:48:15 | 显示全部楼层
刚才那张上传后看不清楚,在传一个
回复 支持 反对

使用道具 举报



该用户从未签到

发表于 4-8-2012 23:49:22 | 显示全部楼层
scivi 发表于 4-8-2012 23:48
刚才那张上传后看不清楚,在传一个

公式.jpg

回复 支持 反对

使用道具 举报



该用户从未签到

发表于 4-8-2012 23:51:54 | 显示全部楼层
scivi 发表于 4-8-2012 23:49

公式.jpg

回复 支持 反对

使用道具 举报



该用户从未签到

发表于 25-1-2013 21:03:14 | 显示全部楼层
功率匹配是只最高车速功率和爬坡功率两种,要确保两种功率均能满足使用要求
回复 支持 反对

使用道具 举报



该用户从未签到

发表于 25-1-2013 21:04:27 | 显示全部楼层
一般爬坡功率要求车速不是最高车速,在《汽车设计》里面有详细计算过程
回复 支持 反对

使用道具 举报

快速发帖

您需要登录后才可以回帖 登录 | 注册

本版积分规则

QQ|手机版|小黑屋|Archiver|汽车工程师之家 ( 渝ICP备18012993号-1 )

GMT+8, 20-4-2026 13:01 , Processed in 0.398789 second(s), 44 queries .

Powered by Discuz! X3.5

© 2001-2013 Comsenz Inc.