中国汽车工程师之家--聚集了汽车行业80%专业人士 

论坛口号:知无不言,言无不尽!QQ:542334618 

本站手机访问:直接在浏览器中输入本站域名即可 

  • 1535查看
  • 0回复

基于RADIOSS的机身壁板轴压试验件屈曲分析

[复制链接]

  • TA的每日心情
    开心
    14-6-2015 17:59
  • 签到天数: 1 天

    [LV.1]初来乍到

    发表于 10-3-2015 19:56:55 | 显示全部楼层 |阅读模式

    汽车零部件采购、销售通信录       填写你的培训需求,我们帮你找      招募汽车专业培训老师


      摘要:Altair公司的HyperWorks软件已广泛地应用于航空工业并已得到认可。在新涡桨支线飞机机身壁板稳定性研究试验中,采用RADIOSS求解器对机身壁板轴压试验进行线性屈曲分析,为试验的设计及屈曲分析提供参考。
      新涡桨飞机是全新研制的涡桨支线飞机,机身采用“半硬壳”式结构,壁板作为机身的典型结构之一,属薄壁结构,其稳定性设计至关重要,必须开展机身壁板稳定性试验研究工作,以便积累试验数据。
      机身壁板轴压试验属于新涡桨支线飞机壁板稳定性研究试验之一,在试验前需对试验件进行屈曲和后屈曲分析,以检查试验件是否满足试验要求,验证计算方法的准确性,并且得到试验初始加载载荷。
      本文以HyperWorks软件为平台对机身壁板轴压试验建立细节有限元模型,采用RADIOSS求解器具对试验仅进行线性屈曲分析,在分析的结果上对试验件设计进行更改,确保试验件设计满足试验要求,同时得到试验件的屈曲临界载荷、屈曲模态以及应力分布供试验参考。
      1 试验构型
      机身壁板轴压试验件选取机身下壁板结构的一部分,由3个长桁间距,1个典型框距的壁板结构组成,两端适当延长用于夹持,试验件最大尺寸约为640mm*768mm,示意图见图 1。
      试验件蒙皮选用材料为2524-T3的化铣蒙皮,框选用材料为7075-T6的普通"Z"形钣金框,长桁选用材料为7150-T77551的机加长桁。试验件按蒙皮厚度、长桁类型、长桁间距分为6种构型,试验件构型见表 1。
      
    2013112214175324393.gif
      2 有限元模型
      2.1 模型简化原则
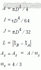
      使用HyperMesh建立试验件的细节有限元模型,划分有限元模型时单元的长宽比按照1:1的正方形进行,单元数量按照半个波长5-9个。蒙皮、长桁、框、角片均简化为正应力板单元,铆钉简化为Bush单元,Bush单元的刚度按照以下公式进行计算。
      
    201311221418177122.jpg
      其中:
      
    2013112214182518158.gif
      2.2 有限元模型
      试验件有限元模型见图 2、图 3。
      
    2013112214184842399.jpg
      
    201311221419212511.jpg
      2.3 边界约束与载荷
      计算时约束试验件一端面节点的六个方向自由度,对另一端面施加4mm的强迫位移(施加强迫位移接近试验的真实加载,防止产生附加弯矩)。
      3 计算结果
      对六种试验件构型使用RADIOSS求解器进行线性屈曲分析,在线性屈曲分析的基础上得到屈曲时的强迫位移,再以相同的约束进行静力计算,得到屈曲临界载荷和应力。试验件的屈曲云图见图 4-图 6,屈曲临界应力分布云图见图 7-图 9,屈曲临界载荷、应力及位移见表 2。
      
    2013112214194035780.gif
      
    2013112214195462059.jpg
      
    2013112214195787130.jpg
      
    201311221420842284.jpg
      
    2013112214201196452.jpg
      
    2013112214202656352.jpg
      
    2013112214202959780.jpg
      4 总结
      采用RADIOSS求解器对机身壁板轴压试验进行线性屈曲分析,通过计算结果可知试验件考核区先于非考核区屈曲,试验件应力分布均匀无应力突变,试验件设计可以满足试验要求。
      蒙皮厚度对机身壁板蒙皮压缩屈曲影响较大,长桁类型和长桁间距对机身蒙皮压缩屈曲影响较小。
      由于有限元屈曲波长上的数量、连接单元的简化以及蒙皮与长桁之间接触等因素对屈曲计算的精度都有影响,下一步有限元计算结果还需和试验数据进行对比,以验证改进建模方法。
      参考文献
      [1]牛春匀编著.实用飞机结构设计.国防工业出版社,1991
      [2]HyperWorks.Reference Guide(end)
      

    快速发帖

    您需要登录后才可以回帖 登录 | 注册

    本版积分规则

    QQ|手机版|小黑屋|Archiver|汽车工程师之家 ( 渝ICP备18012993号-1 )

    GMT+8, 23-5-2026 21:48 , Processed in 0.541247 second(s), 39 queries .

    Powered by Discuz! X3.5

    © 2001-2013 Comsenz Inc.